
1、簡介
1.1、(浮動)子流量計的1個特性及其應用
旋轉(浮動)子流量計是常用的氣流測量裝置。它結構簡單,使用維護方便,對儀器前后直管長度要求低,壓力損失小,測量范圍寬,運行可靠,適用性廣。15305232668和其他特性,但其流動特性容易受到流體粘度,密度等的影響。也就是說,相同的轉移(浮動)子流量計,當在不同的介質條件下用于相同的體積流量測量時,可以獲得不同的測量結果,從而導致測量誤差。
氣體傳輸(浮動)子流量計的校準通常由空氣校準[1]給出。因此,當使用它來測量其他氣體介質的流量時,必須正確校正儀表刻度。在這方面,當介質的粘度相似且密度不同時的流量校正公式被給出作為不同介質之間的流量轉換方法的參考。公式并不復雜,但要理解公式的背景并靈活掌握應用并不容易。
1.2、提出2個問題
航空航天模型通常使用氦氣,氦氣是自然界中密度最低的惰性氣體。在評估某些部分時對于性能指標,需要氦氣流量計來測量氦氣流量。
關于旋轉(浮動)子流量計的氦流量的校準,一些意見主張使用空氣驗證,然后根據[2]的方法將空氣流量值轉換成氦氣的流量。然而,當我們分別用空氣和氦氣校準/校準旋轉(浮動)子流量計時,我們發現通過根據該方法校正氣流比例獲得的氦的理論計算結果與實際氦氣流量很大不同。
為了解釋這個問題,我們選擇LZB-10型氣體轉子流量計,首先用空氣檢查,空氣校準流量合格,然后用氦氣介質校準五個刻度點的氦氣流量。在相同比例下獲得的氦氣流量和空氣流量的測量值,簡單密度校正后的氦氣流量的計算值,以及文獻中的理論密度校正系數和實際綜合校正系數[2]校正方法進行了比較。中的數據。

從表1可以看出:
a)實際的氦氣流量和氣流量不遵循[2]中描述的簡單密度校正關系(即,實際綜合校正因子不等于理論密度校正因子);b)實際綜合修正系數小于理論密度修正系數,即實際氦氣流量小于簡單密度修正后得到的理論氦氣流量;
c)理論密度修正系數是一個常數,與流速無關,實際綜合修正系數與流速有關,隨著流速的減小而減小。
為什么會出現這種現象?理論數據和實驗結果之間的不一致性解釋了問題是什么,是否可以從理論上解釋。所有這些都是本文所關注的問題。實際上,這也是對氣體傳遞(浮動)子流量計的流動特性和流量校正方法的適用性的介質相關原理的深刻理解和重新理解。這一點非常重要,因為只有這樣才能真正實現理論與實踐的統一,確保價值傳遞的科學性和正確性。
為了澄清上述問題,首先要從轉移(浮動)子流量計的結構和工作原理入手。
2、旋轉(浮動)分流量計結構及工作原理簡述[3,4]
旋轉(浮動)子流量計主要由錐管,浮子和支撐連接結構組成。流量刻度直接刻在錐形管上,表明浮子的高度與被測介質的流速之間一一對應。圖1是它的工作原理示意圖。

轉子流量計工作原理圖
將浮子放置在垂直錐形管中。當流體從底部流到頂部時,根據伯努利方程,在浮子之前和之后形成壓差,并且壓差形成用于升高浮子的力F.當F大于浸沒在流體中的浮子的重力Wf時,浮子上升。隨著浮子上升,浮子的最大外徑和錐形管之間的環形區域逐漸增大。在流速保持恒定的情況下,流速逐漸減小,并且F逐漸減小直到F和Wf相等,浮子穩定在一定高度。同時,考慮到實際流動條件和理想狀態之間的差異,獲得了F與流體密度ρ,流速v和浮子的最大橫截面積a之間的關系。
![]()
其中:Cd-從校準實驗中獲得的阻力系數與浮子的形狀,流體的流動狀態和流體的物理性質有關。

式中:Vf ---浮子量,m3; ρf---浮子材料密度,kg / m3; g ---重力加速度,m / s2。
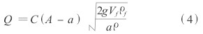
從式(1)和式(2)之間的關系,我們可以得到流量Q的計算公式為
![]()
式中:C ---流量系數; A ---線圈管橫截面積,m3。
對于氣體介質,ρ遠小于ρf,因此上述公式簡化為公式(4),這是氣體傳輸(浮動)子流量計的流量測量原理。

3、用于(浮)轉子流量計特性的介質相關性校正
對于特定的流量計,已經確定了與流量計結構或浮子材料相關的參數在等式(4),A,a,Vf,ρf等中,并且注意到存在流量系數C和密度ρin公式。參數與被測流體有關。只要選擇流體介質,就可以縮放流量計,或者可以通過校準或流量校準實驗確定浮子高度和實際流量之間的對應關系。因此,當特定的旋轉(浮動)子流量計從工廠運輸時,在錐形管上指示應用現有水垢的介質類型。當用于與秤的適用介質不同的其他介質流量測量時,秤必須合理。糾正。根據以上分析,轉移(浮動)子流量計的流量特性的介質相關性校正應包括密度的校正和流量系數的校正,并且流量系數與流體的粘度有關,所以流量系數校正有時被稱為粘度校正。
3. 1、密度校正
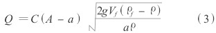
密度校正是[2]中提到的校正方法。比較簡單:根據公式(4),標度介質的流速為Q0,密度為ρ0,被測流體的流速為Q1,密度為ρ1。流量與密度的校正公式為

可以看出,流速與密度的平方根成反比,密度的平方根是轉移(浮動)子流量計的密度校正原理。
3.2、流量系數校正
流量系數C的校正更復雜。在理想的情況下(假設流體是理想的流體,根本沒有粘度;假設流量是理想的流量而根本沒有能量損失),C是一個常數等于1的常數。但是,在實際應用中不太可能出現上述絕對理想狀態。
實際上,對于特定的流量計,流量系數可以表示為雷諾數Re [4]的函數,雷諾數表征流體流動時慣性力與粘性力之比的無量綱數[5] ,從等式(6)定義
![]()
其中:υ---流動部分的平均流速,m / s; L-流體的特征長度,m; ν-流體的運動粘度,m2 / s。
雷諾數是流量計量中的重要參數。當外部幾何條件相似且雷諾數相同時,流體流動狀態也幾何相似。這是流體力學的類似原理。
可以看出,流體粘度對流量系數(或流量)的影響反映在雷諾數中。
在流體力學中,流體的粘度具有兩個不同的表達項,這容易混淆。一個是動態粘度μ,另一個是等式(6)中的運動粘度。兩者之間的關系和流體的密度ρ由等式(7)給出。
![]()
根據雷諾數的定義,流體運動粘度ν越大,雷諾數Re越小,表明粘性力對流體流動的影響比慣性力對流體運動的影響更大,并且影響流體介質粘度對流速的影響較小。忽略;相反,流體運動粘度ν越小,雷諾數Re越大,表明粘性力對流體流動的影響不如慣性力對流體運動的影響顯著。由此可以得出結論,流體粘度對流速的影響程度應該基于運動粘度ν,并且不應該基于動態粘度μ。這個非常重要。它對氣體轉子流量計的計量驗證具有指導意義。如果使用動態粘度作為標準,則可能導致不切實際的結果,因為具有相似動態粘度的氣體的運動粘度可能還有很長的路要走。以空氣和氦氣為例,在標準條件下,空氣和氦氣的動態粘度為[6]:1.81×10-5Pa·s,1.97×10-5Pa·s,應該說非常接近。但是,由于兩者的密度差異很大,它們是:1。205 kg / m3,0.663 kg/ m3,兩者的運動粘度也大不相同:1。502×10-5m2 / s和11.85×10-5m2 / s。
對于不同的流量計,由于結構本身和浮子的形狀,流量系數C與雷諾數Re之間的關系不相同。很難找到表達的一般理論公式,通常以曲線的形式通過大量的實驗數據。描述兩者之間的具體關系。

在這方面,日本學者也進行了深入的研究。其中,文獻[4]也給出了具有不同浮子形狀的流量計。

流量系數C與雷諾數Re之間的關系如圖2所示。
從圖中可以看出,對于具有確定浮子形狀的旋轉(浮動)子流量計,如果氣態介質的運動粘度足夠小,則在雷諾數Re達到某一值后,流量系數C基本保持不變。值。因此,在該區域(暫時稱為線性區域)中,不需要進行粘度校正(或流量系數校正),僅需要進行濃度校正。然而,對于氦氣,由于其運動粘度遠大于空氣,雷諾數和空氣的雷諾數也非常不同,因此工廠只使用空氣標準。:
●在確定浮子的形狀結構的情況下,流量系數與流體運動的粘度有關,運動粘度越大,流量系數越小;
●在正常情況下,同一流量計的不同流量位置的流量系數可能不同。流量越小,系數越小。然而,對于具有較低運動粘度的流體,流量系數與流量標度位置之間的相關性較小;流量系數與標度位置的相關性取決于浮子的形狀。
該圖進一步傳播了以下兩種現象:
●流體粘度對流速的影響程度應以運動粘度ν為標準,不應以動態粘度μ為基礎;
●對于氦氣流量,氣流量表的實際總校正系數與流量有關,隨著流量的減小而減小。這是對本文介紹中引入的c)現象的解釋。:
4、結論
總結以前的理論分析和實驗數據,結合實際工作經驗,我們對氣體傳遞(浮動)子流量計的介質相關性有如下理解,而這些點往往是轉子流量計的校準。在工作中容易被忽視的地方:
●轉移(浮動)子流量計的流量特性的介質相關性反映在兩個方面:密度相關和運動粘度相關。不同氣體介質流速之間的密度校正(轉換)和流量系數校正(轉換)分別僅在滿足一定條件的前提下,才能進行密度校正(轉換);
●應正確理解文獻[2]的濃度校正方法中提到的粘度相似性原理。由于流體的粘度被分為動態粘度和運動粘度,因此在理解相似性原理時容易引起模糊。實際上,相同的流量計,當用于測量不同氣體介質的流量時,流量系數的差異是由于介質的運動粘度的差異,而不是動態粘度的差異。因此,應該使用兩者的運動粘度之間的相似性作為是否僅進行濃度校正的標準,并且不應該使用動態粘度作為標準。否則,這是不科學的。例如:具有相似動態粘度和長移動粘度的氦氣和空氣氣流之間的關系就是一個活生生的例子。
對于與空氣動力粘度差別很大的氣體介質(例如氦氣),當然不可能僅進行密度校正。然而,由于流量計的整體結構和浮子的形狀的廣泛變化,流量系數(或粘度)的校正使得難以找到像密度校正那樣的合適的理論公式。在這種情況下,流量計秤與實際工作介質的重新校準是一種科學選擇,因為這允許直接訪問工作介質的實際流量而無需理論轉換。
5、結論
雖然旋轉(浮動)子流量計的結構非常簡單,但其在流量測量中的應用也很常見。然而,由于流量計量特性的介質特性相關性和流體物理性質的廣泛范圍,流量計量技術的復雜性注定。特別是,氣體介質的相對高的可壓縮性和熱膨脹使得氣流校準的技術難度更大。作為流量計量工作者,我們比普通流量計用戶更深入地了解和分析流量計的流量測量原理和流量特性。
這些只是我們在實際工作中獲得的一些粗略經驗和想法。關于氦氣流量計流量特性的更深入的研究工作正在等待許多流量計研究人員的共同努力。
上一篇:大口徑電磁流量計的安裝方法
版權所有 Copyright(©)2009-2011 江蘇力科儀表有限公司
電話號碼:0517-86909222 商務熱線:15305232668 傳真:0517-86909221
地址:江蘇省金湖縣工業園
技術支持:易品網站建設專家 蘇ICP備13047422號-2